Unrivalled writing experience

Rich Markdown editor

StackEdit’s Markdown syntax highlighting is unique. The refined text formatting of the editor helps you visualize the final rendering of your files.

WYSIWYG controls

StackEdit provides very handy formatting buttons and shortcuts, thanks to PageDown, the WYSIWYG-style Markdown editor used by Stack Overflow.

Smart layout

Whether you write, you review, you comment… StackEdit's layout provides you with the flexibility you need, without sacrifice.

Live preview with Scroll Sync

StackEdit’s Scroll Sync feature accurately binds the scrollbars of the editor panel and the preview panel to ensure that you always keep an eye on the output while writing.

Designed for web writers

Stay connected

StackEdit can sync your files with Google Drive, Dropbox and GitHub. It can also publish them as blog posts to Blogger, WordPress and Zendesk. You can choose whether to upload in Markdown format, HTML, or to format the output using the Handlebars template engine.

Collaborate

With StackEdit, you can share collaborative workspaces, thanks to the synchronization mechanism. If two collaborators are working on the same file at the same time, StackEdit takes care of merging the changes.

Comment

StackEdit allows you to insert inline comments and embed collaborator discussions in your files, just as well as Microsoft Word and Google Docs.

Write offline!

Even when you travel, StackEdit is still accessible and lets you write offline just like any desktop application. You have no excuse!

Extended Markdown support


GitHub Flavored Markdown

StackEdit supports different Markdown flavors such as Markdown Extra, GFM and CommonMark. Each Markdown feature can be enabled or disabled at your convenience.


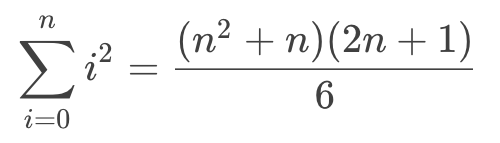
LaTeX mathematical expressions

StackEdit renders mathematics from LaTeX expressions inside your markdown file, as you would do on Stack Exchange.

UML diagrams

StackEdit enables you to write sequence diagrams and flow charts using a simple syntax.

Scores

StackEdit can render musical scores using the ABC notation.

Emojis

StackEdit supports inserting emojis in your file using the Markdown emoji markup.